標準噴嘴流量計
一、產品概述:
ZW-LGP系列標準噴嘴流量計有悠久的歷史背景,各種試驗數據齊全。結構簡單,無可動部件、長期使用穩定可靠,豐富的設計制造和應用經驗。標準化程度高,可不必進行實流標定。標準孔板有可靠的實驗數據和完善的******、******標準。在國外和國內有著其固有的巨大市場,用戶熟悉、數據完善;遵循******標準計算與加工、使用靈活方便;國內流量測量中應用***廣泛的仍然是差壓式流量計。它具有耐高溫高壓、耐沖擊、使用壽命長、測量范圍大、測量精度等特點,適用于電廠高溫高壓蒸汽熱網管道流速高的流體流量測量。
二、工作原理:
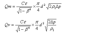
ZW-LGP系列標準噴嘴流量計的原理是采用節流式流量傳感器。它在長頸噴嘴的基礎上采用了特殊的取壓(喉部取壓)方式,使該流量傳感器不僅具有傳統長頸噴嘴的優點,同時還具備流出系數穩定,重復性高等******優點。是一種高精度流量傳感器。流量計算公式:

式中: ,——分別為質量流量(㎏/s)和體積流量(m3/s);
——流出系數 ;
——可膨脹性系數;
——節流件開孔直徑,m;
——直徑比,
——管道內徑,m;
——被測流體密度,㎏/m;
——差壓,Pa;
噴嘴通過測量壓差來衡量流體流量的大小。這種測量方法是以能量守衡定律和流動連續性定律為基準的。充滿管道的流體,當它們流經管道內的節流裝置時,流束將在節流裝置的節流件處形成局部收縮,從而使流速增加,靜壓力低,于是在節流件前后便產生了壓力降,即壓差,介質流動的流量越大,在節流件前后產生的壓差就越大。
三、應用場合:
ZW-LGP系列標準噴嘴流量計與各種差壓變送器配套使用,可測量各種流體的流量。配合調節儀還可以對流量進行調節。廣泛應用于石油、化工、冶金、輕紡、水利、電力等部門 。
1、液體:熱水、冷水、化工液、輕體質油。
2、氣體:高爐煤氣、焦爐煤氣、各種單組分多組分氣體。
3、過熱蒸汽、飽和蒸汽。
4、壓縮空氣。
5、天然氣,火炬氣,液化氣。
四、主要特點:
1、結構簡單,安裝方便。
2、噴嘴比孔板的壓力損失小,要求直管段長度也短。
3、無需實流校驗,性能穩定。
4、可耐高溫高壓、耐沖擊。
5、耐腐蝕性能比孔板好,壽命長。
6、精度高、重復性好、流出系數穩定。
7、圓弧形結構設計可測量各種液體、氣體、蒸汽以及各種臟污介質。
8、整體鍛造加工技術,造價較高。
五、技術參數:
1、公稱直徑:20mm≤DN≤630mm;
2、公稱壓力:PN≤32Mpa;
3、工作溫度:-50℃≤t≤550℃;
4、雷諾數范圍:0.30≤β≤0.44時,70000≤ReD≤107;
0.44≤β≤0.8時,20000≤ReD≤107;
5、喉徑比:0.30≤β≤0.80;
6、精度:0.5級、1.0級、1.5級、2.0級;
7、參照標準:GB/T2624-2006、JJG640-94;
8、連接方式:法蘭連接、焊接。
六、孔板和噴嘴是兩種不同的差壓式流量計:
1.噴嘴
優點:標準噴嘴歷史悠久,有大量的各種試驗數據,噴嘴流量計結構簡單牢固,無可動部件、長期使用穩定可靠,豐富的設計制造和應用經驗,標準化程度高,可不必進行實流標定。標準噴嘴有可靠的實驗數據和完善的******、******標準。計量數據真實可信,可作為貿易結算計量用表。
缺點:生產制造較復雜,單價較高.
2.孔板
孔板流量計優點:性價比較高。標準孔板歷史悠久,有******、******標準及檢定規程和大量的試驗數據,不用實流標定。計量數據真實可信,可作為貿易結算計量用表。
缺點:孔板銳角邊的磨損、臟污等因素均會影響計量精度。檢定周期較短6-12個月。
七、結構形式:
噴嘴由垂直于軸線的入口平面部分A、圓弧形曲面B和C所構成的入口收縮部分、圓筒形喉部E和為防止邊緣損傷所需的保護槽F組成,其取壓方式上游取壓口采用角接取壓,下游取壓口可按角接取壓設置,也可設置于較遠下游處。噴嘴總長度
a、當0.30≤β≤2/3時,噴嘴長度=0.6041d;
b、當2/3≤β≤0.80時,噴嘴長度={0.4041+(0.75/β-0.25/β2-0.5225)0.5}d ;
c、ISA 1932噴嘴上游面由垂直于軸的平面、廓形為圓周的兩段弧線所確定的收縮段、圓筒形喉部和凹槽組成的噴嘴。ISA1932噴嘴的取壓方式僅角接取壓一種。
八、安裝注意事項:
1、可水平、垂直或傾斜安裝,應保證管內充滿液體;
2、節流裝置前,后直管段應是直的,無肉眼可見彎曲,同時應是“圓的”,內壁應潔凈,無凹坑與沉淀物;
3、直管段長度要求及節流裝置安裝應符合GB/T26224—93有關規定;
4、引壓管路安裝應符合標準規定的規范。
九、適用范圍及應用:
節流件名稱 | 適用管道 (DN mm) | 適用直徑比B(d/D) | 應用特點 | 流出系數不確定度Ec% | 設計標準 | |
角接取壓標準孔板 |
環室式 | 50-500 50-500 | 0.2-0.75 0.2-0.75 | 適用于清潔介質其中GD結構適合高溫高壓條件下流量的測量 | 0.6-0.75% | ISO5167 GB/T2624-93 |
夾緊環式 | 50-500 | 0.2-0.75 | 易于清除污物,可用于不太清潔流體流量的測量 | |||
斜鉆孔式 | 450-1000(3000) | 0.2-0.75 | ||||
法蘭取壓標準孔板 | 50-1000 | 0.2-0.75 | 易于清除污物,適用于各種介質
| 0.6-0.75% | ISO5167 GB/T2624-93 | |
徑距取壓標準孔板 | 50-1000 | 0.2-0.75 | ||||
角接取壓標準噴嘴 (ISA1932噴嘴) | 50-500 | 0.3-0.8 | 壓損小,壽命長,尤其適用于蒸汽流量測量 | 0.8-1.2% | ISO5167 GB/T2624-93 | |
長徑噴嘴 | 50-630 | 0.2-0.8 | 壓損小壽命長,LGP型長徑噴嘴組件適合高參數水和蒸汽流量測量 | 2.0% | ISO5167 GB/T2624-93 | |
經典文丘 利管 | 機械加工 式 | 100-800 | 0.2-0.8 | 壓力損失小,所需直管段小于孔板、噴嘴 | 1.0% | ISO5167 GB/T2624-93 |
粗焊鐵板式 | 200-1200(2000) | 0.4-0.7 | 1.5% | |||
文丘利噴嘴 | 65-500 | 0.316-0.77 | 同上 | 1.2-1.75% | ISO5167 GB/T2624-93 | |
1/4圓孔板 | 25-150 | 0.245-0.6 | 適用于低雷諾數 | 2.0-2.5% | DIN BS | |
錐形入口孔板 | 25-250 | 0.1-0.316 | 同上 | 2.0% | BS | |
圓缺孔板 | 50-1500 | 0.32-0.8 | 適用于贓污,有氣泡析出或含有固體微粒的流體測量。 | 1.5% | DIN | |
偏心孔板 | 100-1000 | 0.46-0.84 | 1-2% | ASME | ||
小孔板 | 12.5-40 | 0.2-0.75 | 適用于小管道流量測量 | 0.75% | ASME | |
透鏡式孔板 | 12.5-150 | 0.2-0.75 | 適用于高壓常溫小管道流量測量 | 0.6-0.75% | ISO5167ASME | |
十、選型編碼:
型號 | 說 明 | ||||||||
ZW-LG | 節流裝置(中偉測控) | ||||||||
代號 | 按其結構特征的兩大基本分類 | ||||||||
K | 標準孔板 | ||||||||
P | 標準噴嘴 | ||||||||
代號 | 公稱壓力(105Pa) | ||||||||
2.5 | 2.5 | ||||||||
10 | 10 | ||||||||
16 | 16 | ||||||||
25 | 25 | ||||||||
64 | 64 | ||||||||
100 | 100 | ||||||||
200 | 200 | ||||||||
代號 | 口徑(mm) | ||||||||
15~1200 | 15~1200mm | ||||||||
代號 | 按其結構形式細分 | ||||||||
H | 標準孔板(環室) | ||||||||
Y | 標準孔板(法蘭) | ||||||||
K | 標準孔板(鉆孔) | ||||||||
I | ISA 1932噴嘴 | ||||||||
L | 長徑噴嘴 | ||||||||
W | 文丘利噴嘴 | ||||||||
G | 經典文丘利管 | ||||||||
S | 雙重孔板 | ||||||||
Q | 圓缺孔板 | ||||||||
Z | 錐形入口孔板 | ||||||||
R | 1/4圓孔板 | ||||||||
P | 偏心孔板 | ||||||||
N | 整體(內藏)孔板 | ||||||||
X | 楔形孔板 | ||||||||
T | 不在上述之列的特殊節流裝置 | ||||||||
代號 | 介質 | ||||||||
1 | 液體 | ||||||||
2 | 氣體 | ||||||||
3 | 蒸汽 | ||||||||
4 | 高溫液體 | ||||||||
代號 | 補償形式 | ||||||||
N | 不帶壓力、溫度補償 | ||||||||
P | 帶壓力補償輸出 | ||||||||
T | 帶溫度補償輸出 | ||||||||
Q | 帶壓力、溫度補償輸出 | ||||||||
代號 | 變送器差壓量程范圍 | ||||||||
0 | 微差壓量程 | ||||||||
1 | 低差壓量程 | ||||||||
2 | 中差壓量程 | ||||||||
3 | 高差壓量程 | ||||||||
代號 | 是否帶現場顯示 | ||||||||
W | 節流裝置傳感器 | ||||||||
X | 智能節流裝置 | ||||||||
十一、設計訂貨須知事項:
用戶訂貨時請提供以下條件以便幫助正確選擇流量計的規格和系數。
1、 管道尺寸:外徑×壁厚(mm);
2、測量介質名稱:介質密度〔kg/m3〕;
3、設定的流量范圍:即流量計的量程上限值和下限值〔kg/h或m3/h〕;
5、工作壓力:(Mpa);
6、工作溫度:(°C);
7、如配我中偉公司智能流量積算儀請一齊提供:壓力變化范圍,或壓力變送器型號、量程;溫度變化范圍,或溫度變送器型號、量程。
售后服務承諾:
1、從合同簽訂之日起,我中偉公司對所提供的產品提供免費保養及維護服務,承諾終生維修服務;
2、江蘇中偉測控儀表有限公司的銷售經理將定期與客戶聯系,了解產品的使用情況,并解決客戶使用過程中產生的問題,無償提供技術支持;
3、保修期內出現人為的損壞,我公司負責進行維修,并收取由此產生的維修費用;
4、產品出現質量問題或對產品不滿意,用戶可以無條件的選擇退換貨,中偉測控不收取任何的手續費,出現質量問題,承擔來回的運費。

